2022-02-09
“双碳”目标下青岛高新区低碳发展路径研究
作者:刘巍,刘敏,李沐阳,毕梦艳,陈志慧
单位:山东大学环境科学与工程学院
作为全球最大的碳排放国,中国在应对气候变化上展现了雄心壮志和大国担当。2020年9月,习近平主席在第七十五届联合国大会一般性辩论上承诺:“中国将提高国家自主贡献力度,采取更加有力的政策和措施,二氧化碳排放力争于2030年前达到峰值,努力争取在2060年前实现碳中和。”2020年12月,习近平主席又在气候雄心峰会上进一步宣布:“到2030年,中国单位国内生产总值(GDP)二氧化碳排放将比2005年下降65%以上,非化石能源占一次能源消费比重将达到25%左右,森林蓄积量将比2005年增加60亿m3,风电、太阳能发电总装机容量将达到12亿kW以上。”2021年3月,习近平总书记在中央财经委员会第九次会议上强调,实现碳达峰碳中和是一场广泛而深刻的经济社会系统性变革,要把碳达峰碳中和纳入生态文明建设整体布局,拿出抓铁有痕的劲头,如期实现2030年前碳达峰、2060年前碳中和的目标。“双碳”目标是我国基于推动构建人类命运共同体的责任担当和实现可持续发展的内在要求而作出的重大战略决策,展示了我国为应对全球气候变化做出的新努力新贡献和重振全球气候行动的信心与希望,彰显了中国积极应对气候变化、走绿色低碳发展道路、推动全人类共同发展的坚定决心。
当前,我国仍处于工业化进程中。2019年,工业增加值占我国GDP的31%,但工业终端消费能耗占全国终端能源消费总量的65%,工业仍是我国碳减排的主战场。工业园区不仅是工业生产的空间载体,更是工业发展的重要组织模式。我国共有国家级开发区552家和省级开发区1991家。2019年,全国218家国家级经济技术开发区的生产总值为10.8万亿元,占全国GDP的10.9%;169家国家级高新技术产业开发区的生产总值为12.14万亿元,占全国GDP的12.3%。工业园区已成为我国工业发展的重要载体和强大引擎。工业园区在为中国的经济发展做出了巨大贡献的同时,也排放了大量温室气体。工业园区通过低碳转型实现碳达峰,既是园区高质量发展的内在要求,又是工业领域建设生态文明的重要抓手,也是落实国家温室气体减排计划的重要途径。
近些年,工业园区管理部门陆续出台了一系列的政策和标准,推进工业园区低碳发展(表1)。科学技术部和生态环境部的最新政策文件要求一些低碳发展绩效较好的园区制定碳达峰和碳中和路线图,探索出一条适于我国工业园区的低碳发展路径。然而,由于相关文件出台时间短,目前相关工业园区双碳目标约束下的低碳发展路径研究几乎没有报道。本研究以青岛国家高新技术产业开发区(以下简称“青岛高新区”)为案例,通过系统全面核算园区内温室气体排放,分析不同部门温室气体减排潜力和措施,并设定不同的碳达峰情景,科学甄选碳达峰路径,为我国工业园区低碳发展提供决策参考。

青岛高新区,位于东经120°07′~120°34′、北纬36°11′~36°24′。东依青岛城阳区,南临胶州湾,西与胶州市相邻,海岸线全长78km,面积63.44km2。青岛高新区始建于1992年11月,是经国务院批准设立的国家级高新技术产业开发区。从建立伊始,青岛高新区的发展经历了“一次创业”起步期(1992—2005年)、“二次创业”重建期(2006—2011年)和“三次创业”聚集期(2012年至今)的三个阶段。由最初的以生物制药、家用电器、电子、软件和新材料为四个支柱产业发展至今,逐步形成了以新一代信息技术、医疗医药、人工智能+高端装备制造和现代服务业为主的“3+1”主导产业模式。2020年,青岛高新区GDP为122.8亿元,工业增加值为60.3亿元。
作为发起《国家高新区“碳达峰碳中和”行动宣言》的12家高新区之一,青岛高新区走在绿色发展前列,在国家高新区综合排名较为靠前,有较好低碳发展绩效。然而,青岛高新区近几年在产业升级转型和绿色发展上也面临一些压力,定位发展的低碳主导产业的引领作用不明显,需深入剖析青岛高新区低碳发展困境并寻求解决之道,也可为我国其他相似情况的工业园区低碳发展转型提供经验参考。
本文综合采用《2006年IPCC国家温室气体清单指南》《省级温室气体清单编制指南(试行)》和《城市温室气体核算工具指南》等指南和工具,以青岛高新区物理边界为系统边界,核算6类主要的温室气体——CO2、CH4、N2O、HFCs、PFCs和SF6,涉及园区四种活动的直接和间接温室气体排放,即能源活动、林业和土地利用变化以及废弃物处理。园区内没有水泥、石灰、钢铁、半导体和氢氟烃等相关工业和农业,因此不考虑工业生产过程和农业相关碳排放。
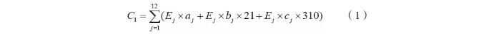
园区除有青岛高新热电提供生产和生活用热外,还有区外金海热电提供生产和生活热力。园区内暂无电厂,所有电力均外购。能源活动的碳排放C1包括区内化石能源燃烧的直接排放和外购电力及热力的间接排放,计算公式如下:

式中,j 代表12种高新区所用能源,分别为煤、天然气、生物燃料、汽油、煤油、柴油、液化石油气、润滑油、其他石油制品、石油沥青,以及购入的电力和热量;Ej 表示第j种能源的消费量;aj 代表第j 种能源的CO2排放系数;bj 代表能源行业第j种能源的CH4排放系数;cj 代表第j 种能源的N2O排放系数;21和310分别是IPCC第二次评估中甲烷和氧化亚氮的全球变暖潜能值,也是大多数清单方法推荐的数值。
林业和土地利用变化过程既包括温室气体排放,也包括温室气体吸收,本方案仅核算青岛高新区绿地和湿地的温室气体吸收即碳汇量。绿地和湿地的碳埋藏速率分别为2.62kgC/(a·m2)和168gC/(a·m2)。
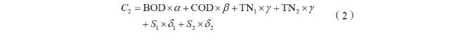
废弃物处置过程的温室气体排放来自生活污水、工业废水、危险废物和生活垃圾处理处置过程,其中生活污染和工业废物在区内污水厂集中处理,危险废物委托园区外有资质单位处理,生活垃圾收集后运送至青岛小涧西生活垃圾焚烧发电厂。废弃物处理总的温室气体排放量C2计算如下:

式中,BOD和TN1为高新区生活污水生化需氧量和氮含量;α 表示生活污水CH4排放系数;β 表示工业废水CH4排放系数;COD和TN2为高新区工业污水化学需氧量和氮含量;γ 表示生活污水和工业废水的N2O排放系数;S1和S2表示危废和生活垃圾产生量;δ1表示为废处置CO2排放系数;δ2表示危废处置CO2排放系数。以上系数均采用城市温室气体核算工具2.2的推荐数值。
在Kaya模型基础上进行扩展,从经济发展、能源结构和能源强度等发展变化来预测未来10年内不同情景下的青岛高新区碳排放量:

式中,E总为高新区各部门能源消耗总量;Ei为第i种能源的消耗量;CO2i为第i种能源的碳排放量。
根据青岛高新区碳排放现状、“十四五”规划社会经济发展目标与2025年碳排放达峰、2050年碳中和“双碳”目标,综合预测工业、建筑业、服务业、生活、公用建筑和废弃物处置部门的碳排放状况,设计4种碳排放情景(表2):既定政策情景、高增长情景、低碳情景和强低碳情景。既定政策情景以青岛高新区现行的节能减排政策和“十四五”节能减排目标为基础;高增长情景假定未来青岛高新区经济发展速度会超过青岛高新区“十四五”规划;低碳情景假定将全面建设绿色低碳园区,确保经济平稳增长的同时转变社会发展模式,由高速发展向高质量发展转变;强低碳情景的政策内涵是将低碳发展置于绝对优先地位。

青岛市“十四五”规划中指出,到2025年,青岛市单位GDP能耗和碳排放强度较2020年分别降低13.5%和18%。在此基础上,设定青岛高新区在“十四五”期间能源消耗强度和碳排放强度在既定政策情景、高增长情景、低碳情景和强低碳情景下能源消耗强度降低13.5%,碳排放强度分别降低20%、18%、25%和30%。既定政策情景参数设定如下:2025年常住人口数和GDP达到青岛高新区“十四五”规划目标,为5万人和260亿元。工业部门能源消耗结构根据青岛高新区工业部门在“十三五”期间能源消耗变化趋势设定,煤消耗占比降低10%,天然气消耗占比增加4%。建筑节能依据中国建筑节能第三阶段《严寒和寒冷地区居住建筑节能设计标准》(JGJ26—20108)中节能幅度设定公共建筑节能65%,居民建筑节能75%。由于服务业、公共建筑和废弃物处置的碳排放占比较少,仅设置一种情景。现代服务业考虑其增加值和节能举措对其的影响。公建用能考虑未来在编人员增长情况的影响。废弃物处置相关参数按照国家“十四五”总量控制要求。其余情景参数依据其政策内核和青岛高新区发展潜力,在既定政策情景设定参数上波动。各情景参数设置详见表2。
青岛高新区经济发展和规上工业能源消耗数据源于园区统计,现有统计口径不涵盖的能耗较大的非规上工业企业(如集中供热中心)、建筑业、服务业、公共建筑的能耗数据均来自调研和估算。建筑业能源消耗量由2016—2020年山东省建筑部门能源消耗强度和2016—2020年青岛高新区建筑业增加值估算。服务业能源消耗量按青岛市服务业能耗量和高新区服务业增加值折算。公共建筑能耗基于能源基础设施调研(电力公司、区内和区外供热中心)。园区废物产生和处理情况基于园区统计和重点企业调研(包括区外垃圾焚烧场)。
2016—2020年,青岛高新区碳排放总量和强度见图1。期间,高新区综合能耗由15.11万tce增至17.62万tce,能耗强度由0.214tce/万元降至0.143tce/万元,碳排放总量从32.88万t增加至43.78万t,年均增长7.6%。2017—2019年,高新区碳强度逐年下降,在2019年降到最低值为0.35t/万元,2020年因为工业能耗涨幅较大而有所增加。五年间碳强度年均降幅为6%。

青岛高新区碳排放总量的80%以上来自工业能耗。工业能耗碳排放量从2016年34.89万t增加到2020年42.13万t,但其占比在缓慢下降。青岛高新区规上工业分品种能源消耗碳排放见图2。工业能耗碳排放66%以上源于二次能源消耗,尤其是外购电力的贡献达60%以上,且份额呈逐年上升趋势;一次能源的碳排放主要来自天然气消耗,占工业碳排放量的15%左右;燃煤的碳排放占比在逐年减少,2020年为10.5%。单位工业增加值碳排放量逐年下降,从2016年1.02t/万元降到2020年的0.70t/万元,降幅为31%。


2016—2020年,建筑业碳排放量为2.3万~2.8万t,占园区碳排放总量的5%~6%左右,主要来自建筑业电和柴油消耗。服务业碳排放量占园区总排放量的不足1%。生活用能的碳排放增长较快,从3.7万t增加到4.9万t,对园区碳排放总量的贡献也从3%增长至10%,其中70%来自集中供热的间接排放。公共建筑用能的碳排量在1.02万~1.83万t,占园区碳排放总量的3%~4%。
青岛高新区内生活垃圾在2017年以前约有8%被填埋,之后全部送往区外青岛小涧西垃圾焚烧发电厂焚烧。该厂垃圾焚烧发电效率为400kW·h/t,扣除焚烧发电过程的直接碳排放,2016—2020年垃圾发电累计减少碳排放4806t。危险废物委托有资质单位进行处理,2020年委外危险废物2685t,10%进行焚烧处理,碳排放为8.6t。工业废水和生活污水经市政管网输送到污水处理厂处理,达标排放。2020年生活污水和工业废水碳排放分别为384t、596t。
2016—2020年,青岛高新区绿地面积分别为4.46km2、5.29km2、5.67km2、6.05km2和6.41km2,平均每年可固碳1.46万t。高新区拥有湿地345km2,每年可固碳5.81万t,湿地贡献了80%的碳汇,抵消了园区碳排放总量的11%,在应对气候变化方面发挥着重要作用。
4种情景下青岛高新区碳排放情况如图4所示。在高增长情景下,到2025年,碳排放量翻倍增长至87.95万t,到2030年排放碳107.04万t。既定政策情景下,工业部门预计在2030年左右达峰,但由于生活部分用电带来碳排量的增长,整个经济社会达峰时间将推迟至2030年以后,2025年碳排放量为80.43万t,2030年碳排放量为90.56万t。低碳情景下,生活用电量仍在增加,但由于工业部门节能减排的深入推进,青岛高新区仍能在2025年实现碳达峰,碳排放量为71.58万t。强低碳情景下,青岛高新区将在2024年实现碳达峰,综合能耗为24.28万tec,碳排放量为59.09万t,但此条件较为苛刻。低碳发展情景是青岛高新区在实现预期社会经济发展目标情况下通过更全面、积极的举措所能达到的碳排放状态,也相对合理的一种达峰路径。

如图5所示,在低碳情景下,青岛高新区工业部门在2025年碳排放量为65.31万t,较2020年增加23.17万t,较既定政策情景减排10.93万t。2025年后,能源增长速率变缓,碳排放量开始减少。到2025年,建筑业碳排放量为4.00万t,较2020年增加0.43万t。服务业碳排放量为0.45万t。公共建筑碳排放1.82万t。居民生活用电碳排放量为3.58万t,较2020年增加2.32万t;2024年集中供热煤改气后,2025年居民用热排放碳将低于现状值,降至4.1万t。废弃物处理的碳排放量在2025年为7079t,其中生活垃圾、危废、工业废水和生活污水处置分别产生碳排放5829t、70t、537t、544t。同时考虑未来生活垃圾焚烧发电效率的提升,假定到2025年,垃圾焚烧厂每焚烧1t生活垃圾可发电560kW·h。2021—2025年每年分别减少碳排放218t、991t、1970t、3002t和4892t。

既定政策情景下,青岛高新区工业部门碳排放总量也持续增加,2025年达到72.43万t,随后以较慢速率增长,到2030年到达79.11万t。到2025年,建筑业碳排放量为4.31万t,较2020年增加7394t。居民生活用电分别为5102.48万kW·h,较2020年增量为4.81倍,碳排放量为5.06万t,较2020年增加3.80万t;2024年全面推行天然气供热后,到2025年碳排放量与现状值持平。
高增长情景下,青岛高新区需要大量的能耗来维持经济的高速发展。碳排放量达到76.23万t,较2020年增加34.11万t,较既定政策情景多排放3.81万t。到2030年,碳排放量达到109.45万t。到2025年,建筑业碳排放量为4.88万t,较2020年增加1.31万t。居民生活碳排放量为4.49万t,较2020年增加3.22万t;居民生活用热需求在2025年几乎是2020年的3倍,由于供热设施煤改气,其碳排放量较2020年仅增加1192t。
强低碳情景下,工业部门2025年碳排放总量达到52.31万t,较2020年增加10.18万t,较基准情景减排20.12万t,碳减排效果明显。到2030年,碳排放量为47.82万t,较2025年削减8.6%,且碳排放量仅为既定政策情景下2030年排放量的60%。其余部门碳排放量与低碳情景相同。
结合情景分析结果,未来青岛高新区碳达峰关键措施包括:
(1)持续产业结构升级。优化产业结构可以在实现园区经济平稳增长的同时有效减排温室气体。尽管青岛高新区一直在提升产业层级,但目前小微企业、孵化企业比例大,战略性新兴产业仍处于成长期,定位的几大主导产业总体缺乏重大项目、龙头项目的支撑。发展壮大绿色低碳的主导产业,是切实推进高新区绿色转型低碳发展的不二选择。同时,推进生产流程低碳重塑,重点围绕园区化工行业减污降碳需求,着力引导企业实现低碳燃料与原料替代、过程智能调控、余热余能高效利用、资源循环利用等生产流程低碳重塑,突破一批流程再造关键技术,持续挖掘节能减排潜力,加快推进化工行业绿色转型。
(2)加速能源结构优化。“十三五”时期青岛高新区煤炭消耗一直在下降,清洁能源比例不断提升,但仍有改进空间。未来在严格实行能源消耗总量和强度双控制度同时,需加速能源结构低碳化。探索使用电力替代煤炭、石油等化石能源直接利用,提高电气化程度。推动天然气在工业燃料、民用等领域应用,提高天然气消费比重。完善公共基础配套设施,提高基础设施效率,同时积极推广集中供热设施煤改气。加强废物资源利用,如将污水处理厂的污水和污泥回用于能源设施,减少能源消耗。加快太阳能、风能、生物质能、地热能等新能源开发应用,大幅提高非化石能源消费比重。极力压减煤炭消费总量,逐步降低煤炭消费比重直至完全淘汰煤炭使用。结合青岛市“东方氢岛”发展战略,加快探索氢能开发利用。
(3)倡导绿色低碳生活。随着青岛高新区的经济发展,城市基础设施不断完善,未来会急剧增长,城市化带来的生活相关碳排放会快速增加。高新区应继续广泛宣传低碳发展理念和政策,推动绿色低碳教育,倡导简约适度、绿色低碳的生活方式,推广低碳产品服务,扩大绿色消费需求,增加绿色产品和服务有效供给,引导消费者购买节能环保低碳产品,提高政府绿色采购规模。
(4)增加蓝绿碳汇。完善绿地生态系统,推进生态公园建设,增强城市绿地碳汇能力。保护修复湿地碳库,进一步提高滨海湿地的固碳能力。
本文核算了青岛高新区“十三五”期间温室气体排放量,构建Kaya模型预测了青岛高新区2021—2030年温室气体排放量,探寻青岛高新区碳达峰的关键部门和实现路径。
(1)2016—2020年,碳排放总量从32.88万t增加至43.78万t,碳排放强度从0.47t/万元降至0.36t/万元。工业部门为园区碳排放量的主要贡献者,碳排放量从34.89万t增加到42.13万t,单位工业增加值碳排放量从1.02t/万元降到0.70t/万元。随着园区产业结构调整和城市化推进,非工业部门增长较为明显,尤其是生活用能碳排放已占园区碳排放的10%。
(2)通过情景分析,低碳发展情景是青岛高新区在实现预期社会经济发展目标情况下通过更全面、积极的举措所能达到的碳排放状态,也是相对合理的一种达峰路径。在此情景下,青岛高新区能源消费结构得到进一步优化,生活和公用建筑供热设施全面煤改气,居民节能器具逐步更新,到2025年综合能源消耗量为30.39万tce,碳排放量为71.58万t,碳排放强度降至0.27t/万元。
为进一步推动中国工业园区低碳发展,充分发挥园区在国家碳达峰碳中和战略目标中的关键作用,基于青岛高新区的案例研究,提出工业园区低碳发展政策建议如下:
(1)完善工业园区现有的能源统计系统。工业园区中工业部门是能耗及温室气体排放的主要部门,但是非工业部门(如居民生活以及公共建筑的能耗)温室气体排放也随着园区城市化进程中贡献越来越大。现有能源统计系统一般仅涵盖规上工业企业,相应地工业园区温室气体仅核算规上工业的能源排放活动,从而会大大低估园区的碳排放。因此,工业园区需要完善能源统计系统,尽可能涵盖工业、建筑、第三产业、生活、公共建筑等部门绝大部分能源活动。园区能源双控目标应该针对整个园区设定,而不仅仅考核规上工业能耗。
(2)建立工业园区温室气体排放核算体系及数据库。目前,工业园区温室气体核算存在核算范围不统一、核算方法不一致以及排放因子选取不规范等问题,建立统一的工业园区温室气体核算方法可为园区科学制定低碳发展战略奠定良好的基础。建议核算的地理范围为园区的行政区划范围,排放源应该尽可能全地包括能源活动、工业生产过程、废弃物处理和土地利用变化等,核算的温室气体种类应包括CO2、CH4、N2O、HFCs、PFCs以及SF6六大类。排放因子可由园区或企业测算,亦可采用一些权威方法和指南中的缺省值。依托当前国家生态工业示范园区、低碳工业示范园区和绿色发展示范园区等创建工作为抓手,推进工业园区碳排放核算和清单编制,构建工业园区温室气体排放数据库,为工业园区的低碳发展提供决策支持。尤其是要逐步将省级及省级以下工业园区的碳排放核算纳入工业园区温室气体排放数据库,相较于国家级工业园区,这些园区数量众多,产业层级落后,能耗较高,更加迫切需要低碳发展转型。
(3)将碳达峰碳中和目标要求纳入工业园区经济社会发展中长期规划。工业园区一般均为所在地区的经济增长引擎,尤其是面对目前复杂经济形势,园区保持经济高速增长的压力巨大,招商引资难度加大,园区政策优势逐渐减弱。然而,工业园区要以国家碳达峰碳中和战略为契机,顺应宏观经济调控的变化和要求,识别发展短板,破解制约低碳发展的瓶颈问题,将低碳发展要求全面融入园区经济社会发展中,切实推动园区绿色低碳转型和高质量发展,杜绝防范片面追求经济发展而放缓产业转型升级。
(4)充分挖掘能源及环境基础设施的减排潜力。工业园区内部清洁高效的基础能源设施(供热设施和电厂等)是园区低碳发展重点突破口,强化园区能源、环境基础设施的提效升级及基础设施间的共生链接。能源基础设施服务年限较长,具有锁定效应,需要长远布局谋划。同时园区外的基础能源设施(供电)和环境基础设施(固体废物处理一般在区外)也会极大影响园区的低碳发展绩效,尤其是未来园区碳达峰后的脱碳过程中,园区外的新型电力系统的建设非常关键,需要区域统筹规划。