2022-08-16

图片来源于网络(侵删)
01 文章信息
原文标题: Identification of development potentials and routes of wastewater treatment and reuse for Asian countries by key influential factors and prediction models
原文作者(*通讯): Zitong Liao, Zhuo Chen*, Yinhu Wu, Ao Xu, Junhan Liu, Hong-Ying Hu
作者单位: 清华大学环境学院环境模拟与污染控制国家重点联合实验室、国家环境保护环境微生物利用与安全控制重点实验室
关键词: 亚洲国家,污水处理,再生水利用,发展潜力,发展路线
原文链接:https://www.sciencedirect.com/science/article/pii/S0921344920305747
02 文章亮点
1. 利用Logistic回归分析建立了污水处理和再利用的发展潜力估计模型。
2. 人均GDP和水资源压力是影响亚洲污水处理和再生水利用的关键因素。
3. 确定了48个亚洲国家的污水处理和再生水利用的发展潜力和最佳发展路线。
03 文章导读
亚太地区是世界上城市化速度最快的地区之一,这给当地的供水、污染控制和生态保护带来了额外的压力。除了这些压力之外,气候变化也导致了频繁的干旱现象。2015年至2019年,亚洲受干旱影响的人数达到3.98亿,占全球受干旱影响人口的84.5%,经济损失达198亿美元。此外,亚太地区约有 80%~90% 的污水未经处理直接排放,对地下水、地表水和沿海水生生态构成威胁。
面对当前与水有关的巨大压力和挑战,建立和维护可持续的多层次水循环系统对国家的水安全至关重要。对于上述问题,人们越来越多地将再生水作为可替代的水资源,帮助大幅降低环境负荷、能源消耗和成本。
许多亚洲国家都面临着日益严重的缺水、水污染和水环境恶化的问题。为了解决这些问题,调查当前的发展状况和未来增加污水处理和水回用的潜力、确定其影响因素意义重大。然而,目前的研究缺乏对亚洲当前和潜在的污水处理和再利用情况的综合分析,大多数现有的预测再生水利用潜力的模型都是在欧洲建立的。本研究的目的是确定 48 个亚洲国家发展污水处理和再生水利用的关键影响因素,并提供有助于有效实施污水处理和再利用计划的建议。
04 文章摘要
近年来,水的供需矛盾日益突出。使用再生水是缓解水资源短缺,防止水环境污染,促进经济和社会可持续发展的有效途径。亚洲的一些国家和地区已经实施了有效的再生水利用实践。然而,总体而言,在大多数亚洲国家和地区,污水处理和再生水利用并不发达。本文认为人均GDP和水资源压力是影响亚洲污水处理和再生水利用的关键因素。基于这些因素,利用Logistic回归分析建立了污水处理和再利用的发展潜力估计模型。根据污水处理和再生水利用的发展现状和未来发展潜力,利用该模型将48个选定的亚洲国家分为四类:高潜力和高发展、高潜力和低发展、低潜力和高发展、低潜力和低发展。根据这四种分类的特点,提出了污水处理和再生水利用的发展路线和措施。该研究为亚洲国家的污水处理和再生水利用的发展规划提供了重要信息,有助于系统地促进和提高可持续水管理水平。

图1. GDP 对污水处理和再利用的影响 (a) 污水处理率与GDP的关系;(b) 再生水利用率与GDP的关系

图2. 水资源对污水处理和再利用的影响 (a) 污水处理率与水资源的关系;(b) 再生水利用率与水资源的关系

图3. 取水量对污水处理和再利用的影响 (a) 污水处理率与取水量的关系;(b) 再生水利用率与取水量的关系

图4. 水资源压力对污水处理和再利用的影响 (a) 污水处理率与水资源压力的关系;(b) 再生水利用率与水资源压力的关系

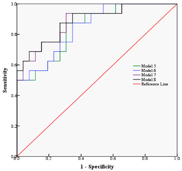
图5. 多元模型的ROC曲线

图6. 所研究的亚洲国家污水处理发展系数与发展潜力的关系

图7. 所研究的亚洲国家再生水利用发展系数与发展潜力的关系

图8. 为48个选定的亚洲国家确定的极端发展路线
05 原文信息

06 原文摘要
In recent years, the conflict between water supply and demand has increased. Using reclaimed water is an effective way to alleviate water resource shortages, prevent pollution of the water environment, and promote the sustainable development of the economy and society. Some countries and regions in Asia have implemented effective reclaimed water use practices. However, on the whole, wastewater treatment and reclaimed water use are not well developed in most Asian countries and regions. This paper identified GDP per capita and water stress as the key factors affecting wastewater treatment and reclaimed water use in Asia. Based on these factors, a development potential estimation model for wastewater treatment and reuse was established using logistic regression analyses. According to the current development status and future development potential of wastewater treatment and reclaimed water use, 48 selected Asian countries are classified into four categories using the model: high potential and high development, high potential and low development, low potential and high development, and low potential and low development. Based on the characteristics of the four classifications, development routes and measures for wastewater treatment and reclaimed water use were proposed. This study provides important information for the development planning of wastewater treatment and reclaimed water use in Asian countries, and can help in systematically promoting and improving the level of sustainable water management.